要理解kubernetes的网络模型涉及到的技术点比较多,网络上各个知识点讲得细的有很多,这里我就大概梳理下整个架构,方便顺着这个脉络深入。本文主要假设kubernetes使用docker+flannel实现。
整体上,了解kubernetes的网络模型,涉及到以下知识:
- linux网络及网络基础
- docker网络模型
- kubernetes网络需求,及flannel网络实现
最后大家就可以结合实例对照着学习。
Linux网络
先看几个概念,引用自Kubernetes网络原理及方案:
- 网络命名空间
Linux在网络栈中引入网络命名空间,将独立的网络协议栈隔离到不同的命令空间中,彼此间无法通信;docker利用这一特性,实现不同容器间的网络隔离
- 网桥
网桥是一个二层网络设备,通过网桥可以将linux支持的不同的端口连接起来,并实现类似交换机那样的多对多的通信
- Veth设备对
Veth设备对的引入是为了实现在不同网络命名空间的通信
- 路由
Linux系统包含一个完整的路由功能,当IP层在处理数据发送或转发的时候,会使用路由表来决定发往哪里
借图以关联上面的概念:
安装docker后,系统中就会有一个docker0网桥。通过ifconfig 或ip link可以查看(准确的说是查看网络设备?):
1
2
3
4
5
6
7
$ip link
1: lo: <LOOPBACK,UP,LOWER_UP> mtu 65536 qdisc noqueue state UNKNOWN mode DEFAULT
link/loopback 00:00:00:00:00:00 brd 00:00:00:00:00:00
2: eth0: <BROADCAST,MULTICAST,UP,LOWER_UP> mtu 1500 qdisc pfifo_fast state UP mode DEFAULT qlen 1000
link/ether 00:16:3e:00:03:9a brd ff:ff:ff:ff:ff:ff
3: docker0: <NO-CARRIER,BROADCAST,MULTICAST,UP> mtu 1500 qdisc noqueue state DOWN mode DEFAULT
link/ether 02:42:c0:a8:05:01 brd ff:ff:ff:ff:ff:ff
一个docker POD中,多个容器间是共享网络的。在POD中,有一个默认的网络设备,就像物理机上一样,名为eth0。POD中的eth0通过Veth设备对,借由docker0网桥与外部网络通信。veth设备对同样可以用ip link查看,系统中有多少POD就会有多少veth对:
1
2
3
4
5
6
7
8
$ip link
...
219: veth367a306c@if3: <BROADCAST,MULTICAST,UP,LOWER_UP> mtu 1450 qdisc noqueue master cni0 state UP mode DEFAULT
link/ether 62:de:88:30:86:fa brd ff:ff:ff:ff:ff:ff link-netnsid 19
220: veth684956fd@if3: <BROADCAST,MULTICAST,UP,LOWER_UP> mtu 1450 qdisc noqueue master cni0 state UP mode DEFAULT
link/ether fe:b8:33:8c:25:b0 brd ff:ff:ff:ff:ff:ff link-netnsid 20
222: veth9e23eff7@if3: <BROADCAST,MULTICAST,UP,LOWER_UP> mtu 1450 qdisc noqueue master cni0 state UP mode DEFAULT
link/ether 7e:e9:2d:f2:28:e5 brd ff:ff:ff:ff:ff:ff link-netnsid 22
veth对只是不同网络命名空间通信的一种解决方案,还有其他方案,借图:

最后,“路由”表可以通过ip route查看,这块内容我理解就是根据网络地址交给不同的设备做处理:
1
2
3
4
5
$ip route
default via 10.101.95.247 dev eth0
...
# 匹配前24bits的地址交由flannel.1设备处理
10.244.0.0/24 via 10.244.0.0 dev flannel.1 onlink
docker网络模型
docker网络模型用于解决容器间及容器与宿主机间的网络通信,主要分为以下模型:
- Bridge,默认模式,也就是上面通过
docker0做通信的模式 - Host,容器内的网络配置同宿主机,没有网络隔离
- None,容器内仅有loopback
不同的模式通常在启动容器时,可以通过--net=xx参数指定。可以通过docker network inspect [host|bridge]查看本机某种网络模型下启动的容器列表,例如:
1
2
3
4
5
6
7
8
9
10
11
12
13
14
15
16
17
18
19
20
21
22
23
24
25
26
27
28
29
30
31
32
33
34
35
$sudo docker network inspect host
[
{
"Name": "host",
"Id": "19958f2d93e0bf428c685c12b084fc5e6a7bd499627d90ae9ae1ca4b11a8f437",
"Scope": "local",
"Driver": "host",
"EnableIPv6": false,
"IPAM": {
"Driver": "default",
"Options": null,
"Config": []
},
"Internal": false,
"Containers": {
"03d2b6e1faa3763fefd5528cce29ca454a13220dab693f242ff808051d7fd34b": {
"Name": "k8s_POD_kube-proxy-69rl4_kube-system_b793f549-22a0-11e8-9ce1-00163e00039a_0",
"EndpointID": "4380fab27d237e21f7fa6f84cf23b8a6d605f4e612968a3377f853abf987f6a4",
"MacAddress": "",
"IPv4Address": "",
"IPv6Address": ""
},
"9140fdf7a3ea0b19fec3a922e998ba3c544d328c1bd372525dfef816c620a431": {
"Name": "k8s_POD_kube-flannel-ds-m88p6_kube-system_b793f466-22a0-11e8-9ce1-00163e00039a_0",
"EndpointID": "01024d8050167cd88c11220375f89217116b5c929575a45695fe5d759038f320",
"MacAddress": "",
"IPv4Address": "",
"IPv6Address": ""
}
},
"Options": {},
"Labels": {}
}
]
docker解决了单机容器网络隔离与网络通信,但没有解决多机间的通信。
Kubernetes网络模型及Flannel实现
kubernetes为了简单,它要求的网络模型里,整个集群中所有的POD都有独立唯一的IP。POD间互相看到的IP是稳定的,是直接可达的,是一个平铺网络。如何实现kubernetes的这个网络需求,CNI插件是一种解决方案,而Flannel项目则是CNI插件的一种实现。
Flannel的实现,本质上主要是两方面内容:
- 一个proxy做流量转发,也就是flanneld进程,可以自行ps查看
- 通过中心化存储etcd来对整个集群做POD的IP分配
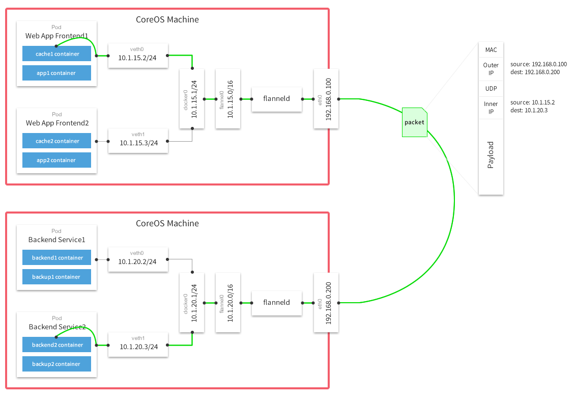
借图,了解flannel网络原理:

flannel网络上已经有很多资料,例如一篇文章带你了解Flannel。flannel的网络通信可以配置不同的backend,例如,配置UDP为backend时,那么交由flanneld进程转发网络包时,就会以UDP包的形式包装起来做转发,到达对端的flanneld进程时再解包。当然,实际使用时是不会使用这种方式的,通常会使用由内核支持的vxLan。参考flannel backend配置。
在安装kubernetes时,基于kube-flannel.yml文件配置flannel就使用的vxLan:
1
2
3
4
5
6
7
net-conf.json: |
{
"Network": "10.244.0.0/16",
"Backend": {
"Type": "vxlan"
}
}
docker在创建容器时,会给容器分配IP,flannel的安装里会hack docker daemon的启动方式,增加--bip参数,用于限定docker分配的IP范围,这也是网络上很多文章提到的。在我的环境里,docker容器全部以host方式设置网络,所以有没有设置bip也无所谓。
安装了flannel后,在kubernetes网络中就可以直接ping一个POD容器。到这里,可以小结一下,基于以上的技术,在一个集群中,每一个POD都可以有一个独立唯一的IP,其他宿主机的POD可以直接访问这个POD。但是,一个分布式服务通常处于性能和稳定性考虑会有多个实例,所以kubernetes还要解决负载均衡问题。
Kubernetes中的负载均衡
kubernetes中通过service概念来对应用做多POD间的负载均衡。service是一个虚拟概念,service都会被分配一个clusterIP,其实就是service对外暴露的地址。你可以为一个redis服务暴露一个service,然后将这个service的clusterIP传给一个PHP应用,以让PHP应用访问redis。那么,这个PHP应用具体是如何通过这个service clusterIP负载均衡到redis的多个容器呢?在kubernetees中,目前主要是通过iptable来实现。借图:

要理解上图,首先大概要有一个iptable的知识,大概就是在整个包收发处理过程中可以配置很多链,当一个链的条件被满足时,就可以执行一个动作。这里,我们主要关注上图中的左边分支部分。本质上,拿到一个service的clusterIP,到发送到目的POD,整个过程主要涉及到内容:
- service clusterIP是虚拟的,是一个iptable规则,这个规则最终会映射到一个POD的IP
- 一个应用有多少POD,那么在集群中的每台机器上,就会有多少iptable链
在kubernetes集群中,可以实际追踪看看。例如上面提到的redis service clusterIP为10.99.136.250:
1
2
3
4
5
6
$sudo iptables-save | grep 10.99.136.250
# -d 10.99.136.250/32 地址完全匹配,然后执行 -j KUBE-SVC-AGR3D4D4FQNH4O33 规则
-A KUBE-SERVICES -d 10.99.136.250/32 -p tcp -m comment --comment "default/redis-slave: cluster IP" -m tcp --dport 6379 -j KUBE-SVC-AGR3D4D4FQNH4O33
# 这条规则对应到上图中`source!=podIP`,主要用于配合SNAT处理,简单理解为改写封包源IP
-A KUBE-SERVICES ! -s 10.244.0.0/16 -d 10.99.136.250/32 -p tcp -m comment --comment "default/redis-slave: cluster IP" -m tcp --dport 6379 -j KUBE-MARK-MASQ
追KUBE-SVC-AGR3D4D4FQNH4O33规则:
1
2
3
4
5
$sudo iptables-save | grep KUBE-SVC-AGR3D4D4FQNH4O33
:KUBE-SVC-AGR3D4D4FQNH4O33 - [0:0]
-A KUBE-SVC-AGR3D4D4FQNH4O33 -m comment --comment "default/redis-slave:" -m statistic --mode random --probability 0.50000000000 -j KUBE-SEP-GDIX2RIKQIYS7RMI
-A KUBE-SVC-AGR3D4D4FQNH4O33 -m comment --comment "default/redis-slave:" -j KUBE-SEP-J5QZN63T7ON4OKV7
...
因为redis-slave有2个POD,所以上面通过--probability 0.50实现了50%的流量负载均衡。KUBE-SEP-XX就是各个POD的地址,可以继续追,例如:
1
2
3
4
$sudo iptables-save | grep KUBE-SEP-GDIX2RIKQIYS7RMI
:KUBE-SEP-GDIX2RIKQIYS7RMI - [0:0]
-A KUBE-SEP-GDIX2RIKQIYS7RMI -s 10.244.1.56/32 -m comment --comment "default/redis-slave:" -j KUBE-MARK-MASQ
-A KUBE-SEP-GDIX2RIKQIYS7RMI -p tcp -m comment --comment "default/redis-slave:" -m tcp -j DNAT --to-destination 10.244.1.56:6379
最终,封包发送到POD之一10.244.1.56。上面的过程,对着前面图的左半部分很容易理解。
kubernetes中还提供了kube-dns,主要是为service clusterIP提供一个域名。每个service都可以按固定格式拼出一个域名,而kube-dns则负责解析这个域名,解析为service的clusterIP,实际网络数据传输流程还是同上。
总结
熟悉kubernetes,几大组件的工作原理其实不难理解。而kubernetes网络模型显得更难,尤其是要结合各种工具、命令去实践时,很容易与理论脱节。一旦梳理通彻整个链路,回头看时就会发现也就那么回事。当然,上面提到的各个技术点,深入下去了解还是有很多内容的。